トップ
イラスト
マンガ
電子書籍
マンガ
その他マンガ
2014センター数学Ⅰ・A解説
投稿する
マイページ
公式マンガ
01/17更新
01/16更新
01/18更新
01/17更新
01/16更新
01/15更新
01/16更新
01/16更新
01/18更新
01/16更新
01/16更新
01/18更新
01/17更新
01/17更新
01/16更新
01/17更新
01/16更新
01/18更新
01/17更新
01/17更新
01/16更新
01/18更新
01/18更新
01/16更新
01/17更新
01/18更新
01/16更新
01/18更新
01/18更新
01/16更新
01/16更新
01/16更新
01/18更新
01/16更新
01/17更新
01/18更新
01/16更新
01/16更新
01/18更新
01/18更新
01/16更新
01/16更新
01/16更新
01/16更新
01/16更新
01/16更新
01/18更新
01/16更新
01/18更新
01/18更新
01/17更新
01/17更新
01/17更新
01/18更新
01/16更新
01/17更新
01/16更新
01/17更新
01/16更新
01/16更新
01/17更新
01/17更新
01/18更新
01/18更新
01/18更新
01/16更新
01/17更新
作品カテゴリ一覧
すべて
少年マンガ
青年マンガ
少女マンガ
女性マンガ
4コママンガ
その他マンガ
ファンコミック
2014センター数学Ⅰ・A解説
作者:
Laika
第1話から読む
最新の無料話を読む
2014年01月22日更新 2014年01月22日開始
[ 1話 無料 ]
[
その他マンガ
]
作品をお気に入りに登録
スクロール
完結
再生(累計)
1357
コメント(累計)
6
お気に入り
5
ランキング(カテゴリ別)
過去最高:
6
位
[2014年01月23日]
前日:
--
作品紹介
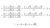
問題を見ながら読むことを推奨します ようやくすべてアップが完了しました お待たせしました
Facebook
Tweet
エピソード一覧
表示切替:
1列表示
5列表示
並べ替え:
昇順
降順
8 ページ
第1話
整数どこ? え、簡単すぎんか、高1での初めの方に習ったやつやん 作者です。できるだけわか...
再生:1358 | コメント:6
作者情報
作者
Laika
(ユーザープロフィールは未入力です)
マンガ
その他マンガ
2014センター数学Ⅰ・A解説